徠卡機器人全站儀助力三等水準測量
一、前言
目前高程測量方法一般分為幾何水準測量、GPS水準測量和三角高程測量三大類。采用傳統水準的方法測定點與點之間的高差,所得到的地面點高程精度較高,普遍用于建立國家高程控制點及測定高等級地形控制點的高程。對于地面高低起伏較大的地區,采用這種方法測定地面點的高程進程緩慢,有時甚至非常困難。

精密三角高程測量在丘陵地、山地、高山地區相比常規水準測量,因架站少、架站自由、靈活、快速,不需要量測儀器、棱鏡高,傳遞高程優勢顯著,能大大降低外業勞動強度,但受限于全站儀的硬件性能,此前一直未能在生產中實際應用;徠卡測量機器人的出現,打破了三角高程測量不能代替高精度水準測量的束縛,徠卡自動全站儀多測回自動觀測、自動識別限差,給野外測量帶來很大的便利,尤其夜間觀測成果更佳。
二、精密三角高程測量技術的可行性研究

作業流程:
檢測棱鏡互差,并檢核棱鏡的加裝是否符合要求,同時還要對全站儀進行組合檢校;
在起點布設棱鏡桿,在距離起點較近的一點(轉點1),布設主站;
主站在轉點1依次觀測棱鏡桿低棱鏡(①)和棱鏡桿高棱鏡(②);
主站不動,在轉點2架設輔站。依次進行如下觀測:后測站觀測低棱鏡(③)、前測站觀測低棱鏡(④)、前測站觀測高棱鏡(⑤)、后測站觀測高棱鏡(⑥);
主站換站至轉點3,輔站不動。依次進行如下觀測:后測站觀測低棱鏡(⑦)、前測站觀測低棱鏡(⑧)、前測站觀測高棱鏡(⑨)、后測站觀測高棱鏡(⑩);
輔站換站,依次循環進行高程的傳遞至接近末點處;
在最后的轉站,主站依次觀測末點高低棱鏡。
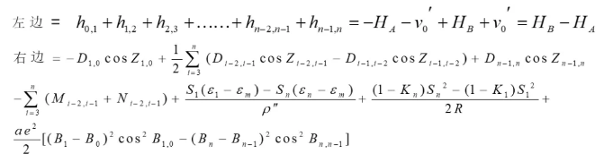
數據模型:

限差

三、項目驗證
為了驗證精密三角高程測量的精度, 內蒙古自治區測繪院使用徠卡TCRA1201全站儀、徠卡TS30全站儀及徠卡TS60全站儀等檢測了很多段用數字電子水準儀測得二等水準路線。其結果如表所示, 精密三角高程測量是完全可以達到二等水準測量的要求。

四、經驗積累、廣泛應用
自2010年5月以來,內蒙古自治區測繪院在呼和浩特、包頭、鄂爾多斯、巴彥淖爾市、烏蘭察布市、赤峰市已成功的使用徠卡自動全站儀精密三角高程測量代替二等水準測量1700多千米;在烏蘭察布市、呼倫貝爾市、興安盟、赤峰市等地方成功的使用徠卡自動全站儀精密三角高程測量代替三等水準測量4000多千米。

經過數年的研究,不同時間,不同區域,所測得的數據基本都能滿足國家二等水準測量規范的要求。徠卡自動全站儀搭配三角高程測量軟件、計算軟件和正確的測量方法,達到了目的和效果。同時我們也積累了諸多的外業經驗:
盡可能使用無伸縮腳架觀測,測段起、末水準點上,對中桿要放穩,保持高度不。
對向觀測時,如一站觀測時間過長,應重測對向觀測。
白天平均氣溫超過26℃時,在保障安全的作業前提下,最好在夜間作業,提前踏勘、選定觀測路線和測站點,更能顯著提高作業效率。
白天作業視線長度不宜超過800米,經過大量測量數據證明500米左右為最佳觀測距離。
白天作業時間遵照水準測量規范上的要求,由于在陽光直射和地面溫度較高,熱氣浪大時大氣折光影響較大。
自動照準觀測,視場內不能有遮擋物在棱鏡前。
視線不能通過煙火上空,觀測目標背后不能有大面積反光地物(蔬菜大棚),大面積水域。
在ATR自動照準時盡量避免陽光直射,由于正對太陽時,在自動照準光路中會有噪聲,從而影響自動照準的精度。

五、總結
傳統二、三等水準在山地、高山的測量中,需要耗費大量的人力、物力和財力,且效率極低。以傳統水準測量為例,在山地連測二、三等水準,單程連續觀測前后視距5-10米,一站一站連測,一個組一天連測3-5公里左右,依據財政部、國家測繪局2009 年頒布的《測繪生產成本費用定額》計算,100個水準點需要聯測1000千米。若對這些點進行二等水準觀測,100個水準點觀測的費用為207萬元,一個組5人需要400天完成。而同樣任務利用徠卡自動全站儀精密三角高程聯測二等水準,一個組一天聯測8-10公里左右,200天以內就可以完成1000千米的水準測量,節省大量的人力、物力。應用徠卡自動全站儀精密三角高程代替二、三等水準測量在困難地區聯測,可產生巨大的經濟效益。
徠卡自動全站儀精密三角高程測量具有傳遞高程靈活、方便、受地形條件限制較少等優點,徠卡測量機器人超高的測角測距精度,為精密三角高程測量提供了硬件保障,目前徠卡自動全站儀精密三角高程測量在大地測量、工程測量中得到了廣泛的應用。
更多相關
徠卡TS16全站儀實現自動導線測量
案例背景 導線測量是最常用的控制測量手段之一,是隧道等地下工程的主要控制測量方式。傳統的觀測手段常采用手動型全站儀進行觀測水平角,紙質記錄手簿手動記錄,現場手動核算限差,完成數據的外業采集工作。...
測繪儀器故障維修流程
測繪儀器故障維修流程:用戶送修--檢查儀器是否在保修期內--填寫用戶記錄--貼標簽--故障判斷--保修期內測繪儀器直接維修--過保測繪儀器通知用戶收費價格--用戶同意--維修--檢查(室內外)--合格...
徠卡MS60全站儀帶您體驗效率與精度完美結合的滑坡監測新方案!
我國西南地區,特別是西南丘陵山區,最基本的地形地貌特征就是山體眾多,山勢陡峻,土壤結構疏松,易積水,溝谷河流遍布于山體之中,與之相互切割,因而形成眾多的具有足夠滑動空間的斜坡體和切割面。廣泛存在滑...
千尋移動華測CORS賬號的覆蓋范圍查詢入口匯總
我們在項目工地用RTK賬號作業時,不確定您的地址CORS賬號服務是否覆蓋?CORS賬號服務通常涉及到實時或連續的高精度定位服務,這類服務往往用于在特定地理區域內進行高精度的定位、導航和測量工作。COR...
中緯ZT16R全站儀說明書 Geomax全站儀說明書
中緯ZT16R全站儀說明書用戶手冊本手冊專門針對使用ZT16系列全站儀的用戶。為了更好的使用,在操作ZT16系列全站儀之前,請認真通讀本手冊。中緯ZT16R全站儀中緯ZT16R全站儀為滿足城市測量用...
高端機K1Pro出馬!流域綜合治理工程放樣不在話下
時間緊,任務多 如何高效且保質保量的完成流域綜合治理工程放樣項目 作業高效 科力達高端機K1Pro出馬 項目背景 ...
徠卡BLK360三維激光掃描儀:測量領域的革命性突破
徠卡BLK360三維激光掃描儀:測量領域的革命性突破 徠卡BLK360三維激光掃描儀自問世以來,以其卓越的性能和創新的設計理念,徹底改變了傳統測量行業的工作方式...
科力達新版KTS-442U全站儀一鍵測量,U盤藍牙體驗大升級!
久等了,朋友們 科力達KTS-442全站儀全新升級 新版KTS-442U全站儀 它在整體配置、使用體驗和外觀工藝上 會給我們帶來多少驚喜? 有請KTS-442U全站儀登場! 暢享新能,...











環球測繪微信